메뉴 버튼

마이페이지

Message Board

[온라인강의] 토목기사 실기 22년도 3회차 22번 문제
김*성2025.11.04답변완료

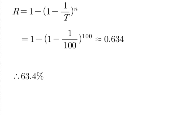
이 문제를 이렇게 풀었는데 교재와 답이 다릅니다 이렇게 풀어도 되는 걸까요?

답변홍성협2025.11.04 18:50

안녕하십니까? 홍성협입니다.

 

해당문제는 오류가 있어 수정중에 있습니다.

 

질문하신 내용처럼 강의에서 설명 드린 내용으로 답안을 산출하시면 됩니다.

 

몸관리 잘하시고 남은기간 조금만 더 힘내세요~ 화이팅!!

TOP