한솔아카데미 로고

전체메뉴
토목기사 · 산업기사 전체메뉴 보기
토목(산업)기사 학습게시판 강의수강 중 학습관련 질의응답, 한솔아카데미 합격 선배의 생생한 합격수기를 제공합니다.

학습게시판

HOME > 학습게시판 > 학습게시판

글보기
제목
1단계 49페이지 처짐각법파트 2번 질뮨입니다
질문유형 교재문의 > 토목기사필기 4주완성 핵심 및 과년도 문제해설 > ①응용역학(고길용)
글쓴이 이*영 등록일 2026.01.26 답변상태 답변완료
  •  

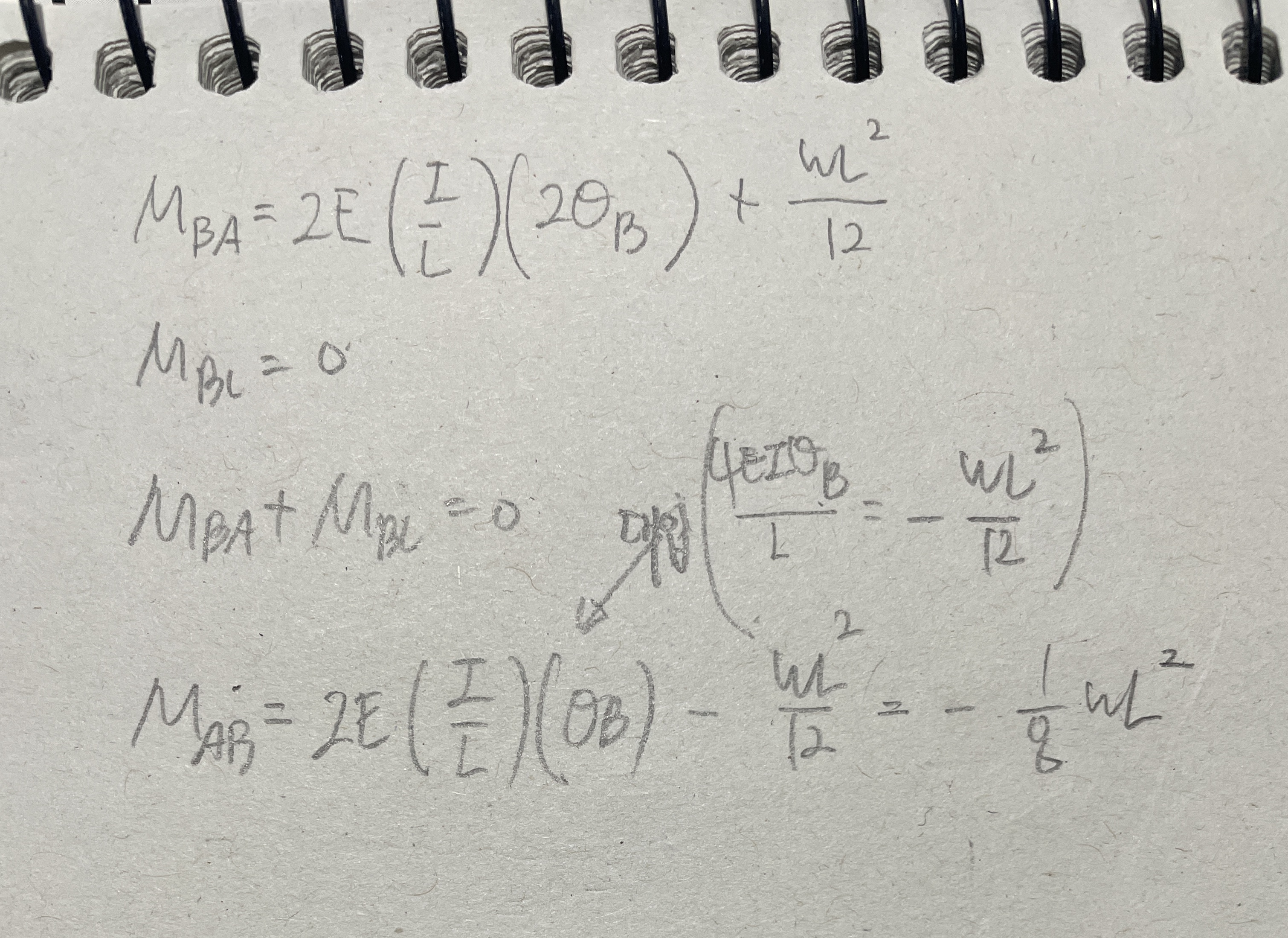
    이 문제를 해설대로 말고 처짐각법으로 풀어보고싶은데

     답이 다르게 나오는 이유가 뭘까요??

    B점은 모멘트 0이므로 Mba+Mbc=0 조건식으로부터 Mab에 대입하면 

     A점에 모멘트를 구할수 있는것으로 알고있는데 답이 다르게 나오네여

  • 고길용 |(2026.01.26 18:34)

    안녕하세요~ 고길용입니다.

    해설 첨부해 드립니다.

첨부파일

목록

위로