한솔아카데미 로고

전체메뉴
토목기사 · 산업기사 전체메뉴 보기
토목(산업)기사 학습게시판 강의수강 중 학습관련 질의응답, 한솔아카데미 합격 선배의 생생한 합격수기를 제공합니다.

학습게시판

HOME > 학습게시판 > 학습게시판

글보기
제목
3권 반중력형 교대 콘크리트량 질문 NEW
질문유형 교재문의 > 토목기사실기(전3권) > 물량산출(김창원)
글쓴이 김*근 등록일 2026.03.24 답변상태 답변대기
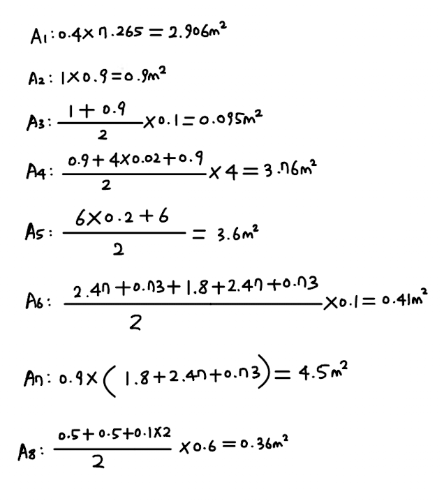
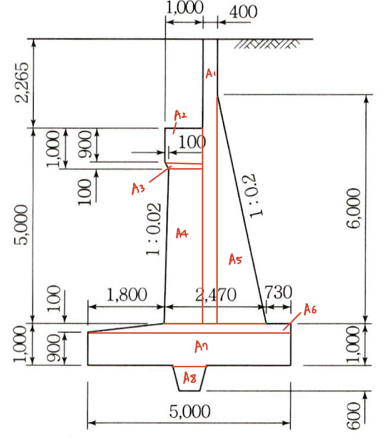
  • 3권 3-464페이지에 있는 16번 반중력형 교대 물량산출 문제의 콘크리트량을 구하던 중 질문이 있습니다.

    위의 사진처럼 구역을 나눈 뒤, 아래 사진처름 식을 세우고 계산하니 단면적이 교재 해설의 16.311m^2와 다른

    16.531m^2으로 나오는데 구역 나누기를 교재 해설과 다르게 하여 아무리 생각해 보아도 잘못된 부분을 알 수 없습니다

    제가 세운 식 중에서 잘못된 부분을 알 수 있을까요...?

  • 관리자 |()

    빠른 시일 내에 답변 드리겠습니다.

첨부파일

목록

위로