한솔아카데미 로고

내일배움카드 배너 전체메뉴
토목기사 · 산업기사 전체메뉴 보기
토목(산업)기사 학습게시판 강의수강 중 학습관련 질의응답, 한솔아카데미 합격 선배의 생생한 합격수기를 제공합니다.

학습게시판

HOME > 학습게시판 > 학습게시판

글보기
제목
부벽식 옹벽 질문
질문유형 교재문의 > 토목기사실기(전3권) > 물량산출(김창원)
글쓴이 김*근 등록일 2026.04.01 답변상태 답변대기
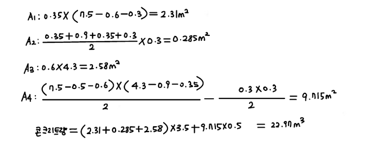
  • 2020년 - 4,5회차 19번 (p.3-312) 물량산출 문제에서 콘크리트량을 구할 때, 실제 시험에서 아래 풀이처럼 작성하면 계산한 각 부분별 이름을 작성하지 않아 감점요인이 되나요? A1~4를 각각 벽체의 넓이, 헌치 등등 부분별 명칭 적어야 할까요...?

  • 관리자 |()

    빠른 시일 내에 답변 드리겠습니다.

첨부파일

목록

위로