한솔아카데미 로고

내일배움카드 배너 전체메뉴
토목기사 · 산업기사 전체메뉴 보기
토목(산업)기사 학습게시판 강의수강 중 학습관련 질의응답, 한솔아카데미 합격 선배의 생생한 합격수기를 제공합니다.

학습게시판

HOME > 학습게시판 > 학습게시판

글보기
제목
반중력형 교대 콘크리트량 산출 질문있습니다
질문유형 교재문의 > 토목기사실기(전3권) > 물량산출(김창원)
글쓴이 김*근 등록일 2026.04.08 답변상태 답변대기
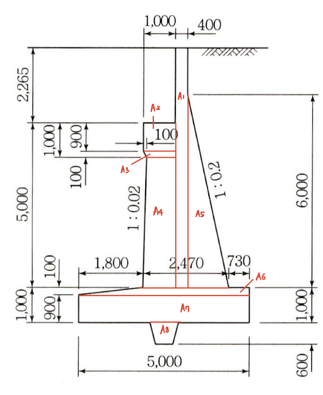
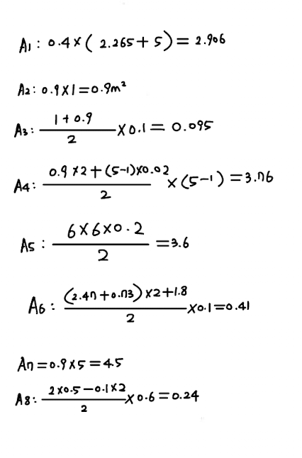
  • 2024년 1회 16번-(가) (p.3-464) 문제를 아래 사진과 같이 구역을 나누어 풀던 중 

    위와 같이 식을 작성하였는데요, 값이 164.11m^3이 나와 해설지의 답인 163.11m^3과 다른데

    여러번 다시 보아도 어느 부분이 잘못되었는지 알지 못하여 질문드립니다...ㅜㅜ

  • 관리자 |()

    빠른 시일 내에 답변 드리겠습니다.

첨부파일

목록

위로