
안녕하세요, 온라인 강의 들으며 실기 준비하고 있습니다.
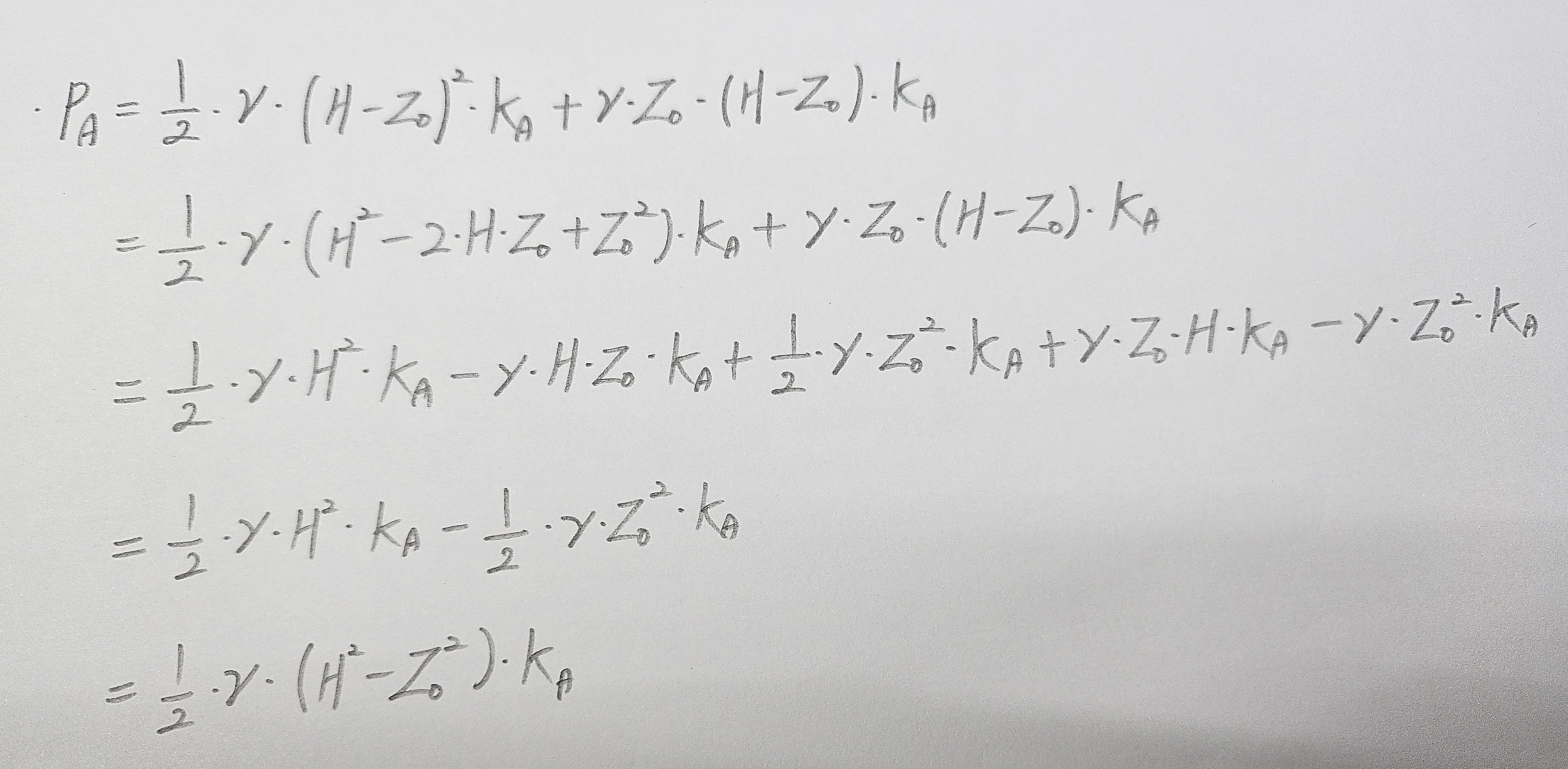
주동토압 공식 중 인장 균열 발생 후, 인장 균열 위의 토압은 무시, 상재하중은 고려한 경우의 공식이
너무나 머리에 안들어오고 안외워져서 고민하다가, 공식을 다시 정리하면 외우기 쉬운 모양이 나와서요.
실기 시험을 응시할 때에 본래 공식이 아닌 제 나름 정리해본 저 마지막 줄의 공식에 바로 대입하여 문제 풀이에 작성하면 오답 처리가 되는지 궁금해서 문의드렸습니다.
실기 시험은 이번이 처음이라 어떻게 작성해야 하는지 감이 안와 이런 문의 드리게 되었습니다.
본 강의 때에 더 외우기 좋은 방법을 알려주셨는지는 모르겠으나 개인 사정 상 벼락치기로 급하게 준비하게 되어 블랙박스 강의만 보고 있는 상태입니다.
항상 좋은 강의 감사드리며, 답변 부탁드리겠습니다.