한솔아카데미 로고

내일배움카드 배너 전체메뉴
토목기사 · 산업기사 전체메뉴 보기
토목(산업)기사 학습게시판 강의수강 중 학습관련 질의응답, 한솔아카데미 합격 선배의 생생한 합격수기를 제공합니다.

학습게시판

HOME > 학습게시판 > 학습게시판

글보기
제목
24년 3회차 10번 문항
질문유형 온라인강의 > 토목기사실기 종합반 > 홍성협
글쓴이 박*철 등록일 2026.04.05 답변상태 답변완료
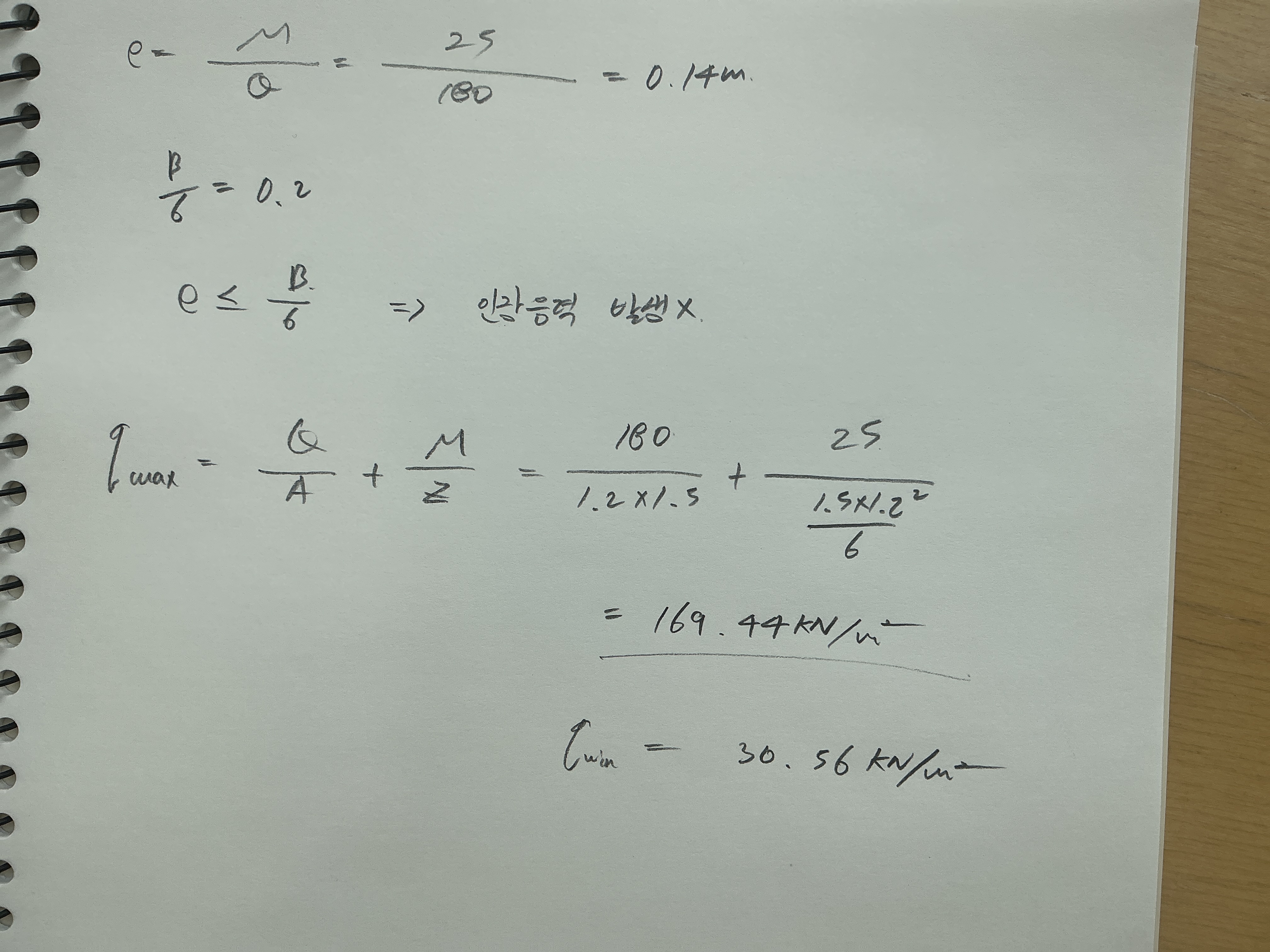
  • 강의에서 알려주신 공식에 숫자대입하면,

    정답과 답이 다른데, 이 부분도 정답처리가 되나요?

  • 홍성협 |(2026.04.06 11:21)

    안녕하십니까? 홍성협입니다.

     

    강의에서 설명드린 방법으로 산출하여도 됩니다.(오히려 더 정확한 값이 산출됩니다.)

     

    해설의 내용은 편심거리가 01388888m로 산출되는데 0.14로 반올림하여 적용하였기 때문에 오차가 발생한 것 입니다. 

     

    참고로 계산문제는 산출방법과 중간값의 소수점 처리로 최종답의 오차가 발생 할 수 있습니다.

     

    이러한 오차는 산출근거만 명확하면 정답으로 인정됩니다.

     

    몸관리 잘하시고 즐거운 하루 보내세요~

첨부파일

목록

위로